(+372) 5722-0488

Synthesis and Applications of Phosphate Ester Surfactants

2021-12-28

Phosphate ester surfactants refer to surfactants containing phosphate ester or phosphate ester salt groups in their molecular structure—a class with excellent performance and wide applications.

Introduction to Phosphate Ester Surfactants

Phosphate ester surfactants are classified as anionic by ionic type, though nonionic variants exist.

By phospholipid source, divided into natural and synthetic. Natural structures vary with conditions; synthetic allow molecular design for performance and diversity. General structure:

Where R is C8-C18 alkyl chain (carbon number key to properties), M is Na+, K+, di/triethanolamine, etc. n is ethylene oxide polymerization degree. Compared to alkyl phosphate salts, polyoxyethylene chain influence enhances penetration, antistatic, and emulsification. However, alkyl phosphates offer higher acid/alkali stability, widely used in acidic/alkaline conditions.

Synthesis of Phosphate Ester Surfactants

Many methods exist; common: phosphorus pentoxide (P2O5), polyphosphoric acid, phosphorus oxychloride (POCl3), phosphorus trichloride (PCl3).

Main phosphorylating agents: P2O5, PCl3, POCl3, polyphosphoric acid. React with hydroxyl-containing compounds (fatty alcohols, alkylphenols, their ethoxylates) to phosphates, neutralized to salts.

Phosphorus Pentoxide Method

Commonly uses P2O5 direct esterification with alcohols—simple, easy; ~70% industrial production.

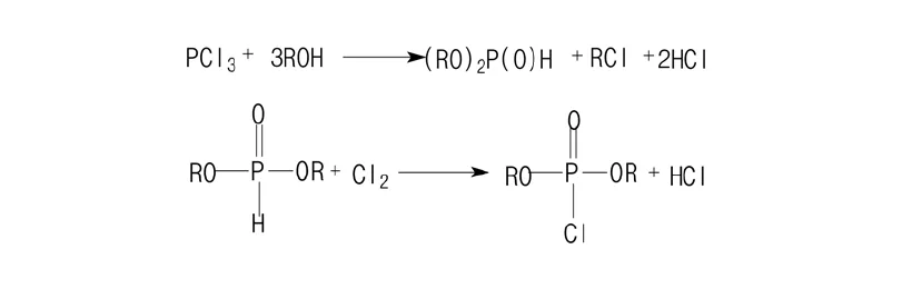
Phosphorus Trichloride Method

Three steps:

  • (1) Room temperature PCl3 with hydroxyl compound, remove HCl/chloroalkane for organophosphite diester;
  • (2) Hydrogen replaced by chlorine for dialkoxyphosphoryl chloride;
  • (3) Hydrolysis/neutralization to phosphate salt.

Phosphorus Oxychloride Method

Key industrial method. Yields mono/di/triester mixture, higher monoester. Production: low temperature (20-50°C) phosphorylation; HCl removed reduced pressure.

Literature notes catalysts (AlCl3, Ti(OBu)4, Zr(OBu)4, organic bases) prevent POCl3 hydrolysis, improve conversion. Drawbacks: POCl3 volatility/toxicity, HCl corrosion—industrial hazards.

Recent advancements include greener catalysts and continuous processes for higher yields and reduced waste as of 2025.

Physicochemical Properties of Phosphate Ester Surfactants

Compared to general anionics: superior hard water/acid (hot alkali)/electrolyte resistance, antistatic. Properties vary by structure, specialized applications: penetrants, antistatics, fatliquoring, emulsifiers. Amphoteric phosphate ester surfactants offer good biodegradability, short/low environmental impact.

Types of Phosphate Ester Surfactants

Common: polyether and alkyl types.

Polyether: contain -(C2H4O)n– for hydrophilicity + phosphate commons—wide use.

Alkyl: direct alkyl phosphates.

Synthesis yields unreacted -OH/free phosphoric acid—strong acidity. For daily chemicals (cosmetics/cleaners) direct skin contact irritates; alkaline neutralization essential for safety.

Commercial tailored by raw materials, conditions, composition.

Main types:

Alkyl Phosphate Esters

Product Introduction
Industrial mixture: monoester (MAP), diester (DAP), triester—common anionic.

R hydrophobic from fatty alcohol/alkylphenol; determines properties.

Product Performance
Solubility/detergency mainly R-influenced. Longer chain poorer solubility; higher monoester better solubility poorer detergency/higher tension; shorter chain/polyoxyethylene better solubility/lower tension; branched same carbon lower tension/better detergency.

Fatty Alcohol (Alkylphenol) Polyoxyethylene Ether Phosphate Esters

Product Introduction
From AEO nonionics phosphorylated—combine anionic/nonionic features.

Product Performance
Good thermal stability wider temperature; stable acid/alkali/salt no layering/precipitation; compatible except cationics; low skin irritation/toxicity.

Siloxane Phosphate Ester Surfactants

Product Introduction
Industrial: dimethylsiloxane alcohol ether + P2O5/polyphosphoric acid. Agent affects mono/di ratio/performance.

Product Performance
Special: high-temperature/weather resistance, chemical inertness, foam uniformity, penetration/foaming/dispersion. Increasing use chemicals/daily products.

Betaine-Type Phosphate Ester Surfactants

Product Introduction
Amine oxide phosphates developed Jerdan Chemical for cleaners—combine amine oxide/phosphate properties.

Product Performance
High foam stability, low eye irritation—tear-free baby products. Pollution-free/heat-stable textile oils. Strong emulsification/dispersion pesticide emulsifiers; good dispersion/stable foam.

Other types: alkyl alcohol amide phosphates, imidazoline, hydroxy phosphates, polymeric.

Alkyl amide: wetting/dispersion/emulsification/softening/antistatic anionics.

Imidazoline/hydroxy amphoterics: antistatic/softening/bactericidal/conditioning—low irritation/hard water resistance/good solubility.

Polymeric: special biocompatibility/flame retardancy/oxidation—research growing, future prospects.

Applications of Phosphate Ester Surfactants

Phosphorus-containing led by phosphate ester surfactants: low toxicity/irritation mild skin; good biodegradability; compatibility multiple raw materials; water solubility; stability acid/alkali/heat/electrolytes; antistatic/flame retardant fabrics; low tension good wetting/emulsification.

  1. Daily chemicals: mono/di/triesters; mono/di salts (K+/Na+/NH4+) anionic, triester nonionic. Industrial cleaners, textile antistatics, transparent/liquid/dry-cleaning detergents, dyeing/finishing aids.
  2. Cosmetics/pharmaceuticals: solubilizers transparent gels, emulsifiers skin creams/lotions. Patents: calcium dihexadecyl phosphate excellent water/oil resistance/skin adhesion solid cosmetics. Medical cosmetics need solubilizers—alkyl phosphates wide series. Some anticancer/antitumor—dozens drugs developed.
  3. Agriculture/papermaking: strong/stable/low-foam pesticide emulsifiers; antibacterial/insecticidal/herbicidal. Papermaking deinking agents, coated paper dispersants/stabilizers.
  4. Plastics/leather: novel fatliquoring agents emerging. Patents antistatic thermoplastics; trialkyl phosphites antioxidant/anti-aging agricultural films, especially polypropylene.

Coatings: Zhang Xinya et al. alkyl alcohol(phenol) ether phosphates basic anionic emulsifiers paints/adhesives—good latex particle size/coagulation/stability.

For more on related products, visit Surfactants. Questions? Contact us. In summary, phosphate ester surfactants excel in diverse industries due to superior properties, advancing as versatile and eco-friendly surfactants.

Summary of Surfactant Knowledge Points

Surfactant downstream

Article by BookChem

BookChem is a technically driven chemical manufacturer specializing in surfactants, emulsifiers, thickeners, hair conditioners, opacifiers, pearlescent agents, flame retardants, and high-performance aerogel materials. Leveraging over a decade of expertise, we provide science-based, eco-friendly formulations for personal care, household cleaning, and industrial applications.Our products meet stringent safety and quality standards worldwide, and our R&D team continuously innovates with renewable raw materials and green processes. With global sales networks and RSPO‑certified ingredients, we help customers reduce their environmental footprint while enhancing product performance.

Leave a Comment

This site uses Akismet to reduce spam. Learn how your comment data is processed.