(+372) 5722-0488

Green Surfactants: Rhamnolipids

2021-11-05

Green Surfactants: Rhamnolipids

Rhamnolipids represent a breakthrough in green surfactants, offering eco-friendly solutions across industries. As Book Chem, we’re excited to guide you through the essentials of rhamnolipids.

Development History of Rhamnolipids

Biosurfactants (BS) are natural surfactants produced by fermentation of microorganisms, plants, or animals, such as glycolipids, polysaccharides, lipopeptides, or neutral lipid derivatives.

Rhamnolipids are anionic biosurfactants produced by Pseudomonas fermentation. They combine excellent chemical and biological properties, with amphiphilic characteristics in oil and water, reducing water surface tension. They can serve as wetting agents, emulsifiers, and foaming agents. These biosurfactants can be used under extreme conditions of temperature, pH, and salinity, and are non-toxic and biodegradable.

In 1947, F.G. Jarvis and M.J. Johnson first discovered, isolated, and described rhamnolipids.

In 1949, the paper “A Glycolipide Produced by Pseudomonas aeruginosa” was published in The Journal of the American Chemical Society, bringing rhamnolipids into the spotlight.

In 1970, Norman Shaw summarized known resources and established bacterial glycolipid structures. The 1970s saw more research on rhamnolipids in pharmaceuticals, as well as on their production and the bacteria that produce them.

In the 1990s, the Yugoslav government, through the national oil company INA, sought a substance to clean up potential oil spills on pristine Dalmatian beaches. Staff collected strain samples from around the world for research, including Pseudomonas aeruginosa. Through studies on Pseudomonas aeruginosa and its metabolite rhamnolipids, Dr. Goran Piljac (MD, DVM) and his wife Dr. Visnja Piljac led a team that discovered the bacterium showed signs of oil cleanup capability. Tests also accidentally revealed efficacy in treating psoriasis and other skin diseases. Since 1990, based on the Piljacs’ work, researchers have made significant progress in the medical applications of rhamnolipids, achieving success and obtaining several patents.

Today, rhamnolipids are the longest-researched and relatively mature anionic glycolipid biosurfactants, widely applied in chemical, pharmaceutical, cosmetic, enhanced oil recovery, and environmental pollution control industries.

Structure and Properties of Rhamnolipids

Chemical Structure

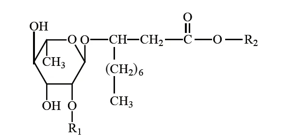
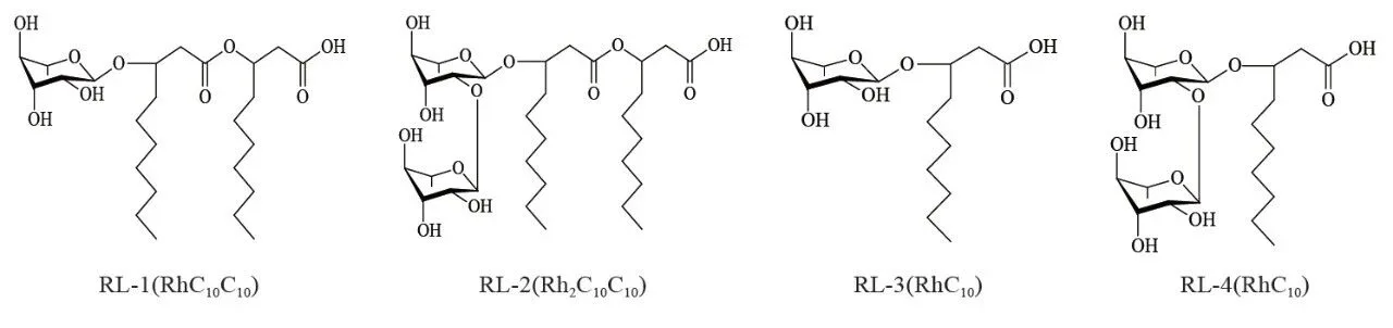
Figure 1 shows the general chemical structure of rhamnolipids, where the hydrophilic group typically consists of 1-2 rhamnose molecules, and the hydrophobic group comprises 1-2 saturated or unsaturated fatty acids with varying carbon chain lengths. During biosynthesis, these groups may link to form various homologous compounds with similar chemical structures. Research indicates that fermentation products generally contain four main types of rhamnolipids, as shown in Figure 2.

Figure 1: General Chemical Structure of Rhamnolipids
Figure 1: General Chemical Structure of Rhamnolipids
Figure 2: Common Four Structures of Rhamnolipids
Figure 2: Common Four Structures of Rhamnolipids

Physicochemical Properties

Properties of Rhamnolipids:

  1. Rhamnolipids are biosurfactants produced by microorganisms, with good environmental compatibility and biodegradability.
  2. Due to their amphiphilic molecular structure in oil and water, they are typical surfactants that can be used as wetting agents, emulsifiers, and foaming agents.
  3. Rhamnolipid biosurfactants can be used under extreme conditions of temperature, pH, and salinity—a characteristic not possessed by some chemical surfactants—and they are non-toxic.

Raw Materials and Preparation Methods for Rhamnolipids

Currently, rhamnolipids are mainly produced by Pseudomonas through fermentation processes, and selecting suitable carbon sources is a key factor for high yields. Common carbon sources include vegetable oils, glycerol, ethanol, glucose, and n-alkanes. To reduce production costs and promote large-scale application of rhamnolipids, using inexpensive and readily available carbon sources has become an important development direction. Using kitchen waste oil as a fermentation carbon source not only provides an economically viable raw material for rhamnolipid production but also opens new pathways for the safe disposal and resource utilization of kitchen waste oil, achieving dual goals of high-value utilization of waste and cost reduction.

Synthesis Pathways

Fermentation Methods

In industrial production, rhamnolipids are mainly produced through microbial fermentation, divided into the following three types based on the fermentation substrate and process:

Liquid Fermentation

This is currently the most common and only industrialized production method. The fermentation medium is entirely liquid, typically using Pseudomonas aeruginosa with glycerol, vegetable oils, etc., as carbon sources. Although yields are high, the process is greatly influenced by medium components and culture conditions (such as carbon source, temperature, pH), and foaming is significant.

Solid-State Fermentation

This method requires no stirring and uses nutrient-rich solid substrates (such as agricultural waste) for fermentation. Its advantages include small equipment footprint and effective avoidance of foam generation. However, disadvantages are lower rhamnolipid yields and insufficient product purity.

Semi-Solid Fermentation

This method combines liquid and solid fermentation, with the medium containing solid substrates (such as rapeseed meal, bran), greatly reducing water content. Its advantages include effectively reducing foam during fermentation and utilizing industrial and agricultural waste as carbon sources to lower costs.

Applications of Rhamnolipids

Petroleum Industry

  1. Enhancing Oil Displacement Efficiency
    • Rhamnolipids can reduce oil-water interfacial tension, alter reservoir rock wettability, reduce crude oil adsorption on reservoir rocks, and enhance crude oil mobility, thereby improving tertiary oil recovery rates. Compared to other displacement agents, rhamnolipid biosurfactants have advantages such as low dosage, good displacement effects after compounding, long-lasting results, and functionality under extreme pH, temperature, and salt concentrations.
  2. Improving Crude Oil Degradation Efficiency
    • As biosurfactants with strong surface activity and emulsification, rhamnolipids possess physicochemical properties like hydrophilicity-lipophilicity, reducing interfacial and surface tension, promoting microbial uptake of insoluble substrates. They are widely used in bioremediation and biodegradation, primarily for treating oil pollution, with advantages like simple operation, low cost, and no secondary pollution, making them a primary method for petroleum hydrocarbon pollutant control.

Daily Chemical Field

As biosurfactants with strong surface activity and emulsification, rhamnolipids can diffuse substances through dispersion and wetting properties, possess good cell permeability, emulsify oils in pores to reduce acne occurrence, and are derived from biology with excellent non-toxic and degradable characteristics. They can be used as wetting agents, emulsifiers, etc., in the daily chemical industry.

Agricultural Field

Rhamnolipids chelate metal ions, promoting plant absorption of nutrients. They can also serve as excellent additives for alkaline soil modification. Since rhamnolipids in soil are ultimately fully utilized by plants and soil microorganisms as nutrients, they leave no residues in soil after plant production, making them safe soil additives.

Medical and Pharmaceutical Fields

Many literature reports indicate rhamnolipids are excellent antibacterial agents. There are also reports of their inhibitory effects on herpes viruses and bacteriophages. Rhamnolipids are highly toxic to mosquitoes, especially Anopheles and Aedes genera, thus holding great potential in controlling vectors for dengue fever, chikungunya, yellow fever, and malaria.

Food Field

In the baking industry, rhamnolipids can increase dough stability, improve texture, aid food preservation, and serve as bulking agents and flavor enhancers for increasing baking volume. Patents also report their use in vegetable and fruit cleaning and preservation, as well as ice cream formulations.

Outlook

The global surfactant market value is currently $34 billion. Trajectory PI estimates the global surfactant market volume at about 11.25 million tons, with 50% used in laundry products, followed by household care products at about 19%-20%, 13%-14% in personal care, and the rest in industrial applications.

Based on environmental and social development needs, the demand for biosurfactants will increase year by year, providing opportunities and challenges for rhamnolipid development. The entire production process of rhamnolipids produces no exhaust gas, no waste residue, no noise, only a small amount of wastewater and recyclable solid waste, ensuring product quality while guaranteeing human and environmental health, meeting industrial production demands in the new era. Moreover, the unique surface/interfacial activity and biological activity of rhamnolipids continuously expand their application fields, with broad development prospects.

Currently, large-scale production of rhamnolipids has been achieved, but product development and applications have not yet broken through. On one hand, further research is needed on alternative cheap raw materials to reduce costs and ensure quality; on the other hand, interdisciplinary research and joint development are required to deeply explore the mechanisms and formulation processes of rhamnolipids, creating new products to benefit the public.

For high-quality rhamnolipids and other green surfactants, visit BookChem selection at Rhamnolipid Products. We’re committed to advancing rhamnolipids as premier biosurfactants for a sustainable future.

Summary of Surfactant Knowledge Points

Surfactant downstream

Article by BookChem

BookChem is a technically driven chemical manufacturer specializing in surfactants, emulsifiers, thickeners, hair conditioners, opacifiers, pearlescent agents, flame retardants, and high-performance aerogel materials. Leveraging over a decade of expertise, we provide science-based, eco-friendly formulations for personal care, household cleaning, and industrial applications.Our products meet stringent safety and quality standards worldwide, and our R&D team continuously innovates with renewable raw materials and green processes. With global sales networks and RSPO‑certified ingredients, we help customers reduce their environmental footprint while enhancing product performance.

Leave a Comment

This site uses Akismet to reduce spam. Learn how your comment data is processed.